Disclaimer: The information on this page has not been checked by an independent person.   Use this information at your own risk.
ROYMECHX clone of ROYMECH

Click arrows to page adverts



Home
Brakes

Disk Brakes


Introduction

The Disk brake is based on a rotating ring (disk) which is mounted on the rotating shaft and a ring or pad of friction material which is forced against the rotating disk to retard its rotary motion.  The force applied to the friction element may be manual, electrical, pneumatic, hydraulic or inertial via a mechanical linkage.  Disk brakes are very useful for heavy duty applications because they can be arranged to dissipate heat rapidly and are equally effective in both rotation directions.


Disk Brake Friction Materials

A selection of disk brake materials with their important properties are provided on page Brake/Clutch materials

Nomenclature
F = Applied Force (N)
P = Brake Power kW
M = Torque (Nm)
F = Actuating Force (N)
μ = Coefficient of Friction.
θ12 = Brake pad angles (rad)
r = Radius of brake ring thickness dr (m)
r i, r o = Inner, Outer radius of brake. (m)
n = Rotational Speed (RPM)
p = Pressure for friction surface(N/m2)
p max = Maximum pressure for friction surface(N/m2)


Theory

There are two operating conditions applicable to disk brakes .

  • Uniform wear.. Applicable for practical brakes after period of operation
  • Uniform pressure.. Applicable for new brakes.

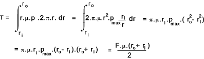
Uniform wear

The wear (W)at any location on a brake is assumed to be proportional to the pressure intensity (p)and the associated relative velocity (v)of the local ring of contact.

The torque capacity of a brake is the integral of the friction force (μ F) x Radius (r)


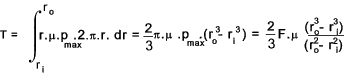
Uniform pressure

When considering the capacity of a disk brake subject uniform pressure, every point on the brake face is subject to the the maximum design pressure for the friction material.  This condition applies mainly to new brakes

The torque capacity of a brake is the integral of the friction force (μ F) x Radius (r)


Disk Brake Pads, Caliper, Floating Caliper Disk Brakes

These systems include an actuated caliper which is mounted on a fixed frame.   The braking effect results from brake pads which are attached to the inner faces of the caliper being closed together the contact the rotating disk.  

This theory of this type of brakes is the same as for the full disk system above except that the braking is not over the full circumference of the disk but is only over a sector from θ1 to θ2.

Uniform wear ..For clarity I repeat notes from above...

The wear at any location on a brake is assumed to be proportional to the pressure intensity (p)and the associated relative velocity (v)of the local contact.


Uniform Pressure



Links to Brake Design
  1. Clutches and Brakes ...A detailed selection and design guide download book
  2. Mayr ...Brakes and Clutches
  3. RingSpann .Disc Brakes
  4. Warner ..Brake /Clutch Information/Data sheets
  5. Twiflex ..Brake /Clutch Information/Data sheets- Registration Required


This Page is being developed

Home
Brakes

Send Comments to Roy Beardmore

Last Updated 20/01/2013