Disclaimer: The information on this page has not been checked by an independent person.   Use this information at your own risk.
ROYMECHX clone of ROYMECH

Click arrows to page adverts


Home
Machine_Parts_Index
Spring Index

Disc Spring Design

More details on Spring design are to be found in the links below the table.

Introduction

A disc spring is a conical shell spring which is loaded along its axis.  Disc springs can used as single or multiple units.  When stacked in multiple units they can be stacked in series to give a low stiffness value or in parallel to give a higher stiffness value.   By varying the size and the stacking arrangements an extremely wide variation in operating parameters can be achieved.

Parallel Stacked springs (n springs)..For a given force the spring deflection will be (1/n) x the deflection of a single spring.  The stress experienced by each spring will be 1/n the stress experienced by the single spring. (friction must be considered when loading is constantly changing )

Series Stacked Springs (n springs)..For a given force the spring deflection will be n x the deflection of a single spring.  Each spring will experience the same stress as that for a single spring

Series & parallel Stacked springs (n series + n parallel )...For a stack of springs n in parallel and n in series. The deflection for a given force will be the same as for one spring.   The springs will only experience 1/n of the stress of one spring.

Disc Spring are generally standardized according to DIN 2092 Calculations or DIN 2093 (dimensions /quality).
Din 2093 differentiate spring in three groups:

  • Group 1: Disc Spring thickness t < 1.25 mm Cold Formed

  • Group 2: Disc Spring thickness 1.25 <= t < 6 mm Cold Formed with inner/outer rings machined and inner edges rounded

  • Group 3: Disc Spring thickness 6 <= t < 16 mm Hot Formed, All surfaces machined and inner/outer edges rounded, bearing flats





Nomenclature
  • F = Axial Force (N)
  • h = Unloaded cone height (mm)
  • h' = Adjusted unloaded cone height (mm) = H - t'
  • H = Unloaded Total height (mm)
  • D = Outside Diameter (mm)
  • d = Inside Diameter (mm)
  • t = Thickness (mm)
  • t' = Adjusted thickness to allow for contact surfaces(mm)
  • u = Poissens Ratio (mm)
  • E = Youngs Modulus N/mm2
  • K1 = Shape Factor (see formula below)
  • K2 = Shape Factor (see formula below)
  • K3 = Shape Factor (see formula below)
  • K4 = Thickness Compensation Factor (See notes below)
  • δ Ratio OD/ID= D/d


Factors
The factors are calculated as follows.



D/d 1.5 1.6 1.7 1.8 1.9 2 2.2 2.4 2.6 2.8 3 3.5 3.6 3.8 4
K1 0.5248 0.5735 0.6131 0.6455 0.6722 0.6943 0.7281 0.7518 0.7684 0.78 0.788 0.7979 0.7987 0.7995 0.7994
K2 1.0982 1.1239 1.1488 1.1731 1.1967 1.2198 1.2643 1.307 1.3482 1.3879 1.4263 1.5178 1.5354 1.5699 1.6037
K3 1.1776 1.1776 1.1776 1.1776 1.1776 1.1776 1.1776 1.1776 1.1776 1.1776 1.1776 1.1776 1.1776 1.1776 1.1776


Springs With Contact Surfaces

Some of the springs in group 2 and all of the springs in group 3 are manufactured with contact surfaces to enable better load bearing.  These flats provide improved contact between springs and they also reduce the outside diameter.

A consequence of the altered geometry is that higher forces are generated.  To compensate for this undesirable effect the thickness of the spring is reduced from t to t'.
The normal ratio of t/t' is about 94% to 96%.   With this reduction the spring force at 75% deflection is about the same as a disk spring with no contact surfaces.

A factor K4 is provided to allow for the different operating characteristics for disc springs with contact surfaces.

If the disc spring has no contact surfaces the K4 = 1





Spring Force

For Goup 1 and Group 2 disc springs without contact surfaces (see note below) K4 = 1

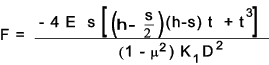
The force at a given disc spring deflection is obtained by the formula below.   This is for springs with no contact surfaces

For springs Group 3 disc spring with contact surfaces the formula below is more accurate.

When considering springs with contact surfaces.   Use the factor K4 as calculated below and use t' instead of t and use h' = H - t'



Spring Stresses

The stresses in a disc spring at four critical locations 1,2,3,4 see sketch for positions are shown below _-ve values are compressive stresses and +ve values are tensile stresses)




Links to Spring Design
  1. Schnorr ...A Disc spring supplier - website includes very useful high quality information
  2. Circlips.com ...Site contains very useful spreadsheet based calculator
  3. Valleyspring ...An excellent download paper on disc springs


This Page is being developed

Home
Machine_Parts_Index
Spring Index

Send Comments to Roy Beardmore

Last Updated 02/09/2009