Disclaimer: The information on this page has not been checked by an independent person. Use this information at your own risk.
ROYMECHX clone of ROYMECH

Click arrows to page adverts

Home
Maths Index



Matrices and Determinants


Matrices

Matrix calculus is a mathematical tool used in connection with linear equations , linear transformations, systems of differential equations etc. Matrices are important in physics, engineering, statistics etc.

The notes below include only basic rules for basic matrix manipulation...

Consider the linear transformation..

y 1= a 11 x1 + a 12x 2
y 2= a21 x 1 + a 22x 2

These equations can be expressed using Matrices as follows

1) A matrix is an array of numbers . A matrix with m rows and n columns is order m x n and is shown as follows..


2)A row matrix has one row of numbers as shown below:-


3) A column matrix has one column of numbers as shown below:-

4) A square matrix is one with an equal number of rows and columns i.e m = n

5) A diagonal matrix is a square matrix with all numbers zero apart from diagonal numbers as shown below:-

6) A unit matrix is a square matrix with all diagonal numbers = 1:-. The other elements being 0..

7) A Symmetric matrix is one with a ij = a ji

8)A null matrix has all elements = 0

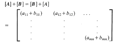
9)The addition of matrices are completed as follows:-

10) The multiplication of matrices are completed as follows:-

11) A Matrix is transposed so that each row element becomes a column element and vice-versa:-

12 )The inverse of a matrix is defined as follows:-

The inverse can be defined only a for square matrix.. There are cases where even a square matrix cannot be so defined.

Transormation from cylinderical co-ordinates to cartesian co-ordinates

An example of the use of matrices is the transformation of Cylinderical co-ordinates to cartesian co-ordinates in vector algebra.. A transformation vector can be determined [A] such that the cartesian co-ordinate {V}cart = [A]{V}cyl




Determinants

Determinants are Arrays which are very useful in the analysis and solution of systems of linear algebraic equations. Generally the solutions are unmanageable when written at length. Using determinants the equations become relatively simple expressions. As and example consider the equations

a1x + b1y + c1 =0
a2x + b2y + c2 =0

The solution is obtained in the form

x / (b1.c2 - b2.c1 ) = y / (c1.a2 - c2.a1 ) = 1 / (a1.b2 - a2.b1 )

The denominators of this solution can be expressed simply in the form of determinants e.g.

1) Determinant Order.

The order of the determinant equations refers to the number of rows/colums e.g.

2) Minor of determinant element

If the row and column of any element is deleted then a reduced order determinant remains which is called the minor determinant of the element in question..e.g. considering the fouth order deteterminant above..

3) Co-Factor of Determinant element

Associated with each element is a sign (+ or -) this is established by counting the number of row and column steps to get from the first element and if the steps are 0 or even the sign is (+ ) and if the steps are odd the sign is ( - ). e.g.

The co-factor of and element is the minor of the element x the relevant sign. e.g.

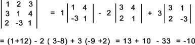
4) Expansion of Determinant

The expansion of a determinant is completed by adding the product all of elements with their co-factors for any row or column. eg

An example of the expansion of a determinant is provided below..

The expansion of the determinant is simplified by using the row or column with zero elements if any as the relevant element-co-factor is zero..

4) Changing rows and columns

The value of a determinant is not altered if its rows are written as columns , in the same order..

5)Interchanging rows or columns.. Provided without proof

If any two rows or any two columns are interchanged the result is a change in sign of the determinant...

6) Equal Rows of Columns...Provided without proof

A determinant with two rows or columns equal has zero value..

7) Multiplying Determinant row or column by a constant...Provided without proof

If all the elements of one row (or one column) is multiplied by the same factor (say k) , the value of the determinant is k x the value of the given determinant.

This can be used to simplify a determinant as follows..

8) Zero rows or columns in determinant...Provided without proof

If all of the elements of a row or a column is zero then the value of the determinant is zero.

9) Determinant Row or Column expressed as binomial ...

If the elements of a row or column are expressed as a binomial the determinant can be written as the sum
of two determinants...

Solution of linear simultaneous equations provided without proof

An example of solving 3 linear equations can be expressed as

a1x + b1y+ c1y + d1 = 0
a2x + b2y+ c2y + d2 = 0
a3x + b3y+ c3y + d3 = 0

Using determinants this is solved by the following relationship<

Example

Solve the equation..

5x - 6y + 4z = 15
7x + 4y - 3z = 19
2x + y + 6z = 46

This equation is rewritten as

5x - 6y + 4z - 15 = 0
7x + 4y - 3z - 19 = 0
2x + y + 6z - 46 = 0

Expressing this in determinant form

On evaluating the denominators.

( x /-1257 ) = ( y /-1676 ) = ( z / -2514 ) = ( -1 /419 )

Dividing each denominator by 419 results in

( x /--3 ) = ( y /-4 ) = ( z / -6 ) = -1

This results in

x = 3:  y =4:  z =6



Links to Matrices
  1. A first course in Matrices..A downloadable tutorial
  2. Refresher Vectors & Matrices Algebra..A Powerpoint Presentation
  3. Determinants..General Information on determinants
  4. Determinants-Wolfram.com.. A high quality review of determinants
  5. Introduction to Determinants-.. SOS maths Useful Notes


This Page is being developed

Home
Maths Index

Send Comments to Roy Beardmore

Last Updated 01/05/2010