Disclaimer: The information on this page has not been checked by an independent person.   Use this information at your own risk.
ROYMECHX clone of ROYMECH

Click arrows to page adverts

Home
Beams Index

Singularity Functions

Introduction

When calculating the shear Force and the bending moment diagrams for more complex loading across discontinuities such as concentrated loads and moments.  Simple methods are not enough.  For the more complicated cases the use of singularity functions provide a convenient method.

A singularity function is expressed as

Where
n = any integer (positive or negative) including zero
a = distance on x axis along the beam,from the selected origin, identifying the location of the discontinuity.


Rules in applying singularity functions
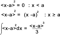
If n >0 and the expression inside the angular brackets is positive then fn(x) = (x-a)n the expression is a normal algbraic formula
If n > 0 and the expression inside the angular brackets is negative then fn(x) = 0
If n < 0 then fn = 1 for x = a and fn(x) = 0 otherwise
If n = 0 then fn = 1 for x >= a and fn(x) = 0 otherwise


Unit Singularity
Function
Singularity Function as used


Example of using singularity functions for a simply supported beam



A more complex example of using singularity functions

The requirement is to obtain the Shear load, moment, slope and deflection anywhere along the beam as shown












The equations above can be used to determine the shear load, moment, slope and deflection for the beam from x = 0 to x = L





Sites Providing Relevant Information
  1. Beam deflection usingDiscontinuity Functions...pdf download - Very informative paper
  2. Deflection of Beams...Berkely U. Useful download on beam deflection including use of singularity functions
  3. Singularity’ functions-Notes from office hours... Concise information with comments

This page is being developed

Home
Beams Index

Send Comments to Roy Beardmore

Last Updated 25/01/2013