Disclaimer: The information on this page has not been checked by an independent person.   Use this information at your own risk.

ROYMECHX clone of ROYMECH


Home
Control Index



Bode Graphs

Bode graphs

Bode graphs are representations of the magnitude and phase of G(j*ω) (where the frequency vector ω contains only positive frequencies).  These consist of two graphs.

The first plot is a plot of log modulus i.e.|G(j ω)|  (in decibels) versus frequency.   The magnitude of |G(j ω)| of any transfer function for any value of ω is plotted on a logarithmic scale in decibels where db = 20log10| P(j ω) |

The second plot is the phase shift (in degrees) versus frequency (ω).

Both plots usually have the frequency (ω) in logarithmic scale from 0 to .

Producing Bode Plots

It is very easy to produce Bode plots by hand or by using proprietary software packages such as Matlab. Links below show how Bode plots can be produced using Excel and using Mathcad.   The example plots below have been produced using Mathcad

When considering relatively complicated transfer functions which are the product of a number of terms i.e

The bode magnitude plots can be obtained by adding the bode magnitudes (20Log10|G(iω)|) plots for the individual factors i.e


20 log10|G(ω)|  =   20 log10|100|  +   20 log10|(1 +j ω|   +   20 log10|(2 +j 3ω|   +   20 log10| /(2 +j ω|   +   20 log10| 1 / (3 - j ω|   +   20 log10| 1 / (2 + j 2ω|

Arg G(ω)  =   ArgG(100)  +   ArgG((1 +j ω)  +   ArgG((2 +j 3ω)  +   ArgG(1 /(2 +j ω)  +   ArgG( 1 / (3 - j ω)  +   Arg(G( 1 / (2 + j 2ω)


Relative stability assessments Using Bode Plots

Two relative stability indicators "Gain Margin" and "Phase Margin" are easily obtained from Bode Plots. As 0 db corresponds to a magnitude of 1 the gain margin is the number of db that |G(iω)| is below 0 db at the phase frequency when the phase arg(G(iω)= 180o (Phase crossover).  The phase margin in the number of degrees arg(G(iω) is above -180o frequency associated with a gain |G(iω)|= 1 (0 db) (Gain crossover)

If the gain margin and phase margin are both positive the system will be stable.   The stability should also be checked using Nyquist or other noted methods for complete certainty.



These are illustrated by plotting two typical Bode plots together as shown below

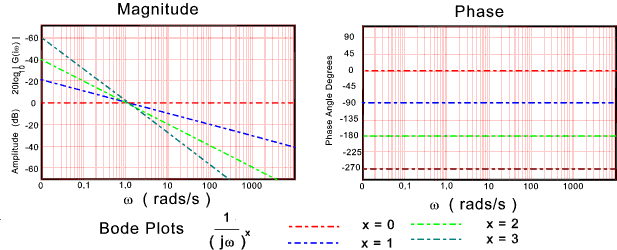
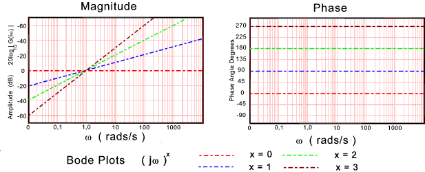
Typical Bode Plots

A small number of typical bode plots are provided to indicate the various shapes. Relatively complicated bode plots can easily be produced by combining the plots below and adding the appropriate log values for constant products and divisors...





Many control systems are described by a general second order differential equation..

The resulting frequency response function and the associated normalised bode plots are show below



Sites & Links For Control Information
  1. Michigan Tech Uni. Paper..Tutorial On using Mathcad to create Bode & Nyquist Plots
  2. Michigan Tech Uni. Paper..Tutorial On using Excel to create Bode & Nyquist Plots
  3. Review of ~Frequency response analysis ..Reviews the different method including bode , nyquist etc
  • Control system design based on frequency response analysis ..Extremely clear document
  • Bode Plots..Very clear pages explaining Bode Plots and how to produce them

..Page is being constructed..




Home
Control Index

Send Comments to Roy Beardmore

Last Updated 28/01/2013