Disclaimer: The information on this page has not been checked by an independent person.   Use this information at your own risk.

ROYMECHX clone of ROYMECH


Home
Control Index


Control System Block Manipulation

The table below relates the control block symbols to the control equation and also illustrates how changes in the control block arrangements can be changed whilst retaining the original control function.

Block Operation Original Arrangement Modified Arrangement Equation
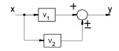
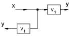
Blocks In Series y =  V1.V2.x
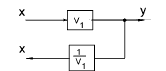
Blocks in Parallel y  =  (V1 ± V2) . x
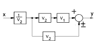
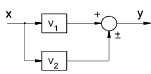
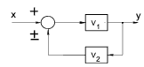
Blocks in Feedback Loop y  =  V1( x ± y . V2)
or    y =  [ V1 / (1 V1.V2 ) ] .x
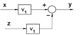
Moving a Summing Block
Ahead of an element
y  =  V1.x  -  z
Moving a Summing Block
beyond of an element
y  =  V1.(x  - z)
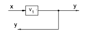
Moving an take-off point
ahead of an element
y  =  V1. x
Moving an take-off point
beyond an element
y  =  V1. x
Removing an element from
a forward path
y =  x. ( V1 ±  V2 )
Inserting an element
in a forward path
y =  V1. x  ±  x
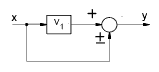
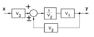
Removing an element from
a feedback path
y = V1( x ± y . V2)
or    y =  [ V1 / (1 V1.V2 ) ] .x
Inserting an element
in a feedback path
y  =  V1( x ± y )
or    y  =  [ V1 / (1 V1) ] .x
Rearrangement
of summing points
y  =  x1  -   x2  -   x3
Interchange of
summing points
y  =  x1   +   x2   -   x3
Moving a Take-off point
ahead of a summing point
y  =  x1  -   x2
Moving a Take-off point
beyond a summing point
y  =  x1   -   x2
x1   =   y  +   x2


Sites & Links For Control Information
  1. Principles of Control Systems..Notes On control system diagrams
  2. pdhcenter.com/courses..Automatic Control Systems - Part I:Block Diagrams and Transfer Functions
  3. 8- Feedback Control Systems..Detailed set of notes

This page is being developed


Home
Control Index

Send Comments to Roy Beardmore

Last Updated 28/01/2013